
Notice of Meeting:
I hereby give notice that an ordinary meeting of the Dunedin City Council will be held on:
Date: Tuesday 28 February 2023
Time: 10.00 am
Venue: Council Chamber, Dunedin Public Art Gallery, The Octagon, Dunedin
Sandy Graham
Chief Executive Officer
Council
PUBLIC AGENDA
MEMBERSHIP
|
Mayor |
Mayor Jules Radich |
|
|
Deputy Mayor |
Cr Sophie Barker
|
|
|
Members |
Cr Bill Acklin |
Cr David Benson-Pope |
|
|
Cr Christine Garey |
Cr Kevin Gilbert |
|
|
Cr Carmen Houlahan |
Cr Marie Laufiso |
|
|
Cr Cherry Lucas |
Cr Mandy Mayhem |
|
|
Cr Jim O'Malley |
Cr Lee Vandervis |
|
|
Cr Steve Walker |
Cr Brent Weatherall |
|
|
Cr Andrew Whiley |
|
Senior Officer Sandy Graham, Chief Executive Officer
Governance Support Officer Lynne Adamson
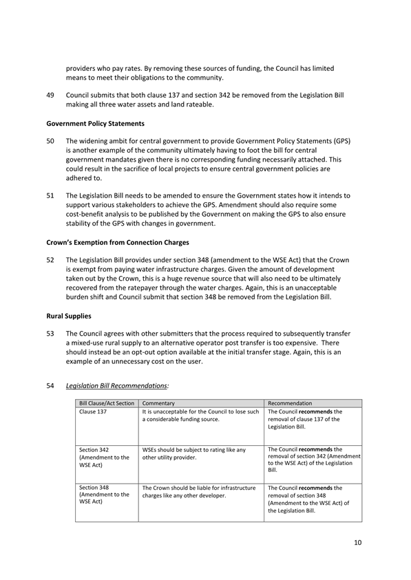
Lynne Adamson
Governance Support Officer
Telephone: 03 477 4000
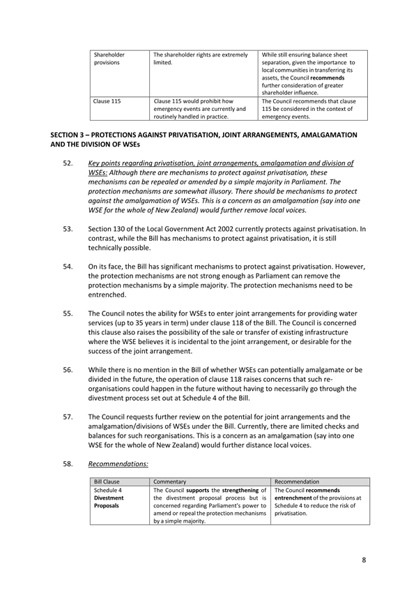
Lynne.Adamson@dcc.govt.nz
The meeting will be live streamed on the Council’s YouTube page: dunedin city council - YouTube
Note: Reports and recommendations contained in this agenda are not to be considered as Council policy until adopted.
|
|
Council 28 February 2023 |
ITEM TABLE OF CONTENTS PAGE
1 Opening 4
2 Public Forum 4
3 Apologies 4
4 Declaration of Interest 5
5 Confirmation of Minutes 16
5.1 Ordinary Council meeting - 31 January 2023 16
Reports
6 Actions From Resolutions of Council Meetings 29
7 Forward Work Programme for Council - February 2023 33
8 Water Services Legislation Bill and Water Services Economic Efficiency and Consumer Protection Bill - Submission 41
9 Future for Local Government Review - Submission 100
10 Future Development Strategy - Governance Arrangements 119
11 Triennial Agreement 2023-2025 126
12 Appointment of Hearing Panel for Interim Speed Management Plan 135
13 Councillor appointments to external organisations 137
14 Proposed Event Road Closures for March - April 2023 139
Resolution to Exclude the Public 152
|
|
Council 28 February 2023 |
Rev Canon Michael Wallace (All Saints Church) will open the meeting with a prayer.
At the close of the agenda public forum registrations were still being taken. The speakers will be confirmed following closure of registrations 24 hours before the meeting starts.
An apology has been received from Cr Andrew Whiley.
That the Council:
Accepts the apology from Cr Andrew Whiley.
|
|
Council 28 February 2023 |
EXECUTIVE SUMMARY
1. Members are reminded of the need to stand aside from decision-making when a conflict arises between their role as an elected representative and any private or other external interest they might have.
2. Elected members are reminded to update their register of interests as soon as practicable, including amending the register at this meeting if necessary.
3. Staff members are reminded to update their register of interests as soon as possible.
|
That the Council: a) Notes/Amends if necessary the Elected Members' Interest Register attached as Attachment A; and b) Confirms/Amends the proposed management plan for Elected Members' Interests. c) Notes the Executive Leadership Team Members’ Interest Register. |
Attachments
|
|
Title |
Page |
|
⇩a |
Councillor Register of Interest |
6 |
|
⇩b |
ELT Register of Interest |
14 |
|
|
Council 28 February 2023 |
Ordinary Council meeting - 31 January 2023
|
That the Council: a) Confirms the public part of the minutes of the Ordinary Council meeting held on 31 January 2023 as a correct record.
|
Attachments
|
|
Title |
Page |
|
A⇩ |
Minutes of Ordinary Council meeting held on 31 January 2023 |
17 |
|
|
Council 28 February 2023 |
![]()
Council
MINUTES
Minutes of an ordinary meeting of the Dunedin City Council held in the Council Chamber, Dunedin Public Art Gallery, The Octagon, Dunedin on Tuesday 31 January 2023, commencing at 10.00 am
PRESENT
|
Mayor |
Mayor Jules Radich |
|
|
Deputy Mayor |
Cr Sophie Barker
|
|
|
Members |
Cr Bill Acklin |
Cr David Benson-Pope |
|
|
Cr Christine Garey |
Cr Kevin Gilbert |
|
|
Cr Carmen Houlahan |
Cr Marie Laufiso |
|
|
Cr Cherry Lucas |
Cr Mandy Mayhem |
|
|
Cr Jim O'Malley |
Cr Lee Vandervis |
|
|
Cr Steve Walker |
Cr Brent Weatherall |
|
|
Cr Andrew Whiley |
|
|
IN ATTENDANCE |
Sandy Graham (Chief Executive Officer), Simon Pickford (General Manager Community Services), John Christie (Manager Enterprise Dunedin), Simon Drew (General Manager Infrastructure and Development), Jeanette Wikaira (Manahautū (General Manager Māori, Partnerships and Policy)), Gavin Logie (Chief Financial Officer), Claire Austin (General Manager Customer and Regulatory), Leanne Mash (Communications and City Marketing Manager), Jinty MacTavish (Principal Policy Advisor), Rick Zwaan (Senior Policy Analyst, Zero Carbon) and Clare Sullivan (Deputy Electoral Officer), Paul Freeland (Principal Policy Advisor) and Kevin Mechen (Alcohol Drug Gambling Advisor and Secretary, District Licensing Committee) |
Governance Support Officer Lynne Adamson
1 Opening
Geoff Mitchell (The Church of Jesus Christ of Latter-day Saints) opened the meeting with a prayer.
TRIBUTE
The Mayor acknowledged the recent passing of former Councillor and Community Board member, Maurice Prendergast.
2 Public Forum
1.1 Public Forum – Rachel Elder
Ms Elder tabled information on cycleways and ideas for a Taieri Gorge Cycle Trail to connect Dunedin with Middlemarch.
Ms Elder responded to questions.
1.2 Public Forum – Paulina Barry
Ms Barry spoke on street lighting in Port Chalmers and responded to questions.
1.3 Public Forum – Jo Millar
On behalf of Grey Power Otago Inc, Ms Millar spoke about Aurora Energy.
Ms Millar responded to questions.
|
3 Apologies |
|
There were no apologies. |
4 Declarations of interest
Members were reminded of the need to stand aside from decision-making when a conflict arose between their role as an elected representative and any private or other external interest they might have.
|
|
Moved (Mayor Jules Radich/Cr Steve Walker): That the Council:
a) Notes the Elected Members' Interest Register; and b) Confirms the proposed management plan for Elected Members' Interests. c) Notes the Executive Leadership Teams’ Interest Register. Motion carried (CNL/2023/001) |
5 Confirmation of Minutes
|
5.1 Ordinary Council meeting - 13 December 2022 |
|
|
|
Moved (Mayor Jules Radich/Cr Kevin Gilbert): That the Council:
Confirms the public part of the minutes of the Ordinary Council meeting held on 13 December 2022 as a correct record with a correction to Item 6 noting that the first resolutions was lost. Motion carried (CNL/2023/002) |
RepoRts
|
6 Actions From Resolutions of Council Meetings |
|
|
|
A report from Civic provided an update on the implementation of resolutions made at Council meetings.
|
|
|
Moved (Mayor Jules Radich/Cr Andrew Whiley): That the Council:
Notes the Open and Completed Actions from resolutions of Council meetings.
Motion carried (CNL/2023/003) |
|
7 Forward Work Programme for Council - January 2023 |
|
|
|
A report from Civic provided an update on the forward work programme.
|
|
|
Moved (Mayor Jules Radich/Cr Sophie Barker): That the Council:
Notes the updated Council forward work programme. Motion carried (CNL/2023/004) |
Cr Carmen Houlahan left the meeting at 10.38 am.
|
8 Zero Carbon Work Programme and Dunedin Community Carbon Footprint Update |
|
|
|
A report from the Sustainability Group provided an update on the Zero Carbon work programme. |
|
|
The Manahautū (General Manager Māori Partnerships and Policy), Principal Policy Advisor Sustainability (Jinty MacTavish) and Senior Policy Analyst, Zero Carbon (Rick Zwaan) spoke to the report and responded to questions.
|
|
Cr Carmen Houlahan returned to the meeting at 10.41 am. Cr Carmen Houlahan left the meeting at 11.02 am and returned at 11.05 am. Cr Christine Garey left the meeting at 10.23 am and returned at 11.25 am. Cr Carmen Houlahan left the meeting at 11.39 am and returned at 11.42 am. |
|
|
|
Moved (Cr Steve Walker/Cr Christine Garey): That the Council:
Notes the Zero Carbon work programme update, including updates to the Dunedin Community Carbon Footprint. Division The Council voted by division
For: Crs Bill Acklin, Sophie Barker, David Benson-Pope, Christine Garey, Kevin Gilbert, Carmen Houlahan, Marie Laufiso, Cherry Lucas, Mandy Mayhem, Jim O'Malley, Steve Walker, Brent Weatherall, Andrew Whiley and Mayor Jules Radich (14). Against: Cr Lee Vandervis (1). Abstained: Nil
The division was declared CARRIED by 14 votes to 1
Motion carried (CNL/2023/005) |
Moved: (Mayor Jules Radich/Cr Carmen Houlahan):
That the Council:
Adjourns the meeting.
Motion carried
The meeting adjourned at 11.59 am and reconvened at 12.34 pm.
|
9 Letter of Expectations for Dunedin City Holdings Limited and Group |
|
|
|
A report from Civic provided a draft Letter of Expectations for the Dunedin City Holdings Limited Board for consideration. |
|
|
The Chief Executive Officer (Sandy Graham) spoke to the report and explained an omission of one line in the letter. She then responded to questions.
|
|
Cr Mandy Mayhem left the meeting at 12.44 pm
|
|
|
|
Moved (Cr Sophie Barker/Cr Lee Vandervis): That the Council:
a) Approves the draft Letter of Expectations to the Board of Dunedin City Holdings Limited on behalf of the Council as Shareholder with the addition of a statement of compliance with DCC policies. b) Authorises the CEO to make any changes to the Letter of Expectations following Council’s feedback. c) Authorises the Mayor to sign the Letter of Expectations on behalf of the Council as Shareholder. Motion carried (CNL/2023/007) |
|
10 Local Elections - Submission to 2022 local elections inquiry |
|
|
|
A report from Civic and Corporate Policy sought consideration and approval of a draft submission to the Justice Committee’s Inquiry into the 2022 Local Elections. |
|
|
The Manahautū (General Manager Māori Partnerships and Policy) Jeanette Wikaira and Deputy Electoral Officer (Clare Sullivan) spoke to the report and responded to questions.
|
|
Cr Mandy Mayhem returned to the meeting at 12.49 pm.
It was moved (Mayor Jules Radich/Cr Sophie Barker):
That the Council:
Adjourns the meeting.
Motion carried
The meeting adjourned at 12.54 pm and reconvened at 12.58 pm.
The Mayor advised an additional public forum presentation would be held following this item.
|
|
|
|
Moved (Cr Sophie Barker/Cr Jim O'Malley): That the Council:
a) Approves the draft Dunedin City Council Submission to the Inquiry into the 2022 Local Elections b) Authorises the Mayor or his delegate to speak to the submission at Select Committee hearings c) Authorises the Chief Executive to make any minor editorial amendments to the submission Division The Council voted by division
For: Crs Bill Acklin, Sophie Barker, David Benson-Pope, Christine Garey, Kevin Gilbert, Carmen Houlahan, Marie Laufiso, Cherry Lucas, Mandy Mayhem, Jim O'Malley, Steve Walker, Brent Weatherall, Andrew Whiley and Mayor Jules Radich (14). Against: Cr Lee Vandervis (1). Abstained: Nil
The division was declared CARRIED by 14 votes to 1
Motion carried (CNL/2023/008) |
PUBLIC FORUM
1.4 Public Forum – Diane Yeldon
Ms Yeldon acknowledged the recent passing of former Councillor and Community Board member, Maurice Prendergast and welcomed the Mayor and Councillors to the new triennium.
Ms Yeldon then spoke on the Dunedin City Council Hospital Campaign and responded to questions.
|
11 Gambling Act 2003 - Submission on Performance-based Class 4 Licensing |
|
|
|
A report from Civic and Corporate Policy sought approval of a draft Dunedin City Council submission to the Department of Internal Affairs. |
|
|
The Manahautū (General Manager Māori Partnerships and Policy) Jeanette Wikaira and Gambling Advisor (Kevin Mechen) spoke to the report and responded to questions on the submission.
|
|
Cr Carmen Houlahan left the meeting at 1.28 pm and returned at 1.31 pm.
|
|
|
|
Moved (Cr Christine Garey/Cr Steve Walker): That the Council:
a) Approves the DCC submission on “Performance-Based Class 4 Licensing”. b) Authorises the Chief Executive to make any minor editorial amendments to the submission. Division The Council voted by division
For: Crs Sophie Barker, David Benson-Pope, Christine Garey, Kevin Gilbert, Carmen Houlahan, Marie Laufiso, Cherry Lucas, Mandy Mayhem, Jim O'Malley, Lee Vandervis, Steve Walker, Brent Weatherall, Andrew Whiley and Mayor Jules Radich (14). Against: Cr Bill Acklin (1). Abstained: Nil
The division was declared CARRIED by 14 votes to 1
Motion carried (CNL/2023/009) |
|
12 Sale and Supply of Alcohol (Community Participation) - Submission on the Amendment Bill |
|
|
|
A report from Civic and Corporate Policy sought approval of a draft Dunedin City Council submission to the Government’s Justice Committee on the Sale and Supply of Alcohol (Community Participation) Amendment Bill. |
|
|
The Manahautū (General Manager Māori Partnerships and Policy), Jeanette Wikaira; Corporate and Secretary, District Licensing Committee (Kevin Mechen) spoke to the report and responded to questions on the submission.
|
|
|
Moved (Cr David Benson-Pope/Cr Jim O'Malley): That the Council:
a) Approves the DCC submission, on the “Sale and Supply of Alcohol (Community Participation) Amendment Bill with the amendment that the DCC wishes to speak to the submission. b) Authorises the Mayor or his delegate to speak to the submission at hearings. c) Authorises the Chief Executive to make any minor editorial amendments to the submission. Motion carried (CNL/2023/010) |
Cr Christine Garey left the meeting at 2.06 pm.
|
13 Local Government Official Information and Meetings Bill - Submission on the Amendment Bill |
|
|
|
A report from City Development sought consideration and approval of a draft submission to the Governance and Administration Committee on the Local Government Official Information and Meetings Amendment Bill. |
|
|
The General Manager Infrastructure and Development (Simon Drew) and Principal Policy Advisor (Paul Freeland) spoke to the report and responded to questions on the submission.
|
|
|
Moved (Cr Bill Acklin/Cr Lee Vandervis): That the Council:
a) Approves the draft Dunedin City Council submission, with any amendments, on the Local Government Official Information and Meetings Amendment Bill. b) Authorises the Chief Executive to make any minor editorial amendments to the submission Motion carried (CNL/2023/011) |
|
|
A report from Civic presented the Committee Structure and Delegations Manual for formal adoption by Council. |
|
Cr Christine Garey returned to the meeting at 2.10 pm.
|
|
|
|
The Chief Executive Officer (Sandy Graham) spoke to the report and responded to questions.
|
|
|
Moved (Cr Bill Acklin/Cr Jim O'Malley): That the Council:
Adopts the Committee Structure and Delegations Manual 2023 with an amendment to add the word “sustainable” into Clause 4 of the Finance and Council Controlled Organisations Committee delegations. Motion carried (CNL/2023/012) |
Moved (Mayor Jules Radich/Cr Steve Walker):
That the Council:
Adjourns the meeting.
Motion carried
The meeting adjourned at 2.13 pm and reconvened at 2.23 pm.
|
16 Notice of Motion - Dunedin Hospital |
|
|
|
In accordance with Standing Order 26.1 a Notice of Motion was received from Cr David Benson-Pope. |
|
|
Cr David Benson-Pope spoke to his Notice of Motion which was then considered by Council.
|
|
|
Moved (Cr David Benson-Pope/Mayor Jules Radich): That the Council:
a) Supports the New Dunedin Hospital being built to the specifications in the Final Detailed Business Case approved by Cabinet, and that the Dunedin City Council will not accept changes that reduce the long-term capacity of the New Dunedin Hospital, or that compromise in any way the clinical services available to residents of the city and the wider region. b) Seeks the commitment of all parliamentary parties to adequately fund that work. c) Engages with stakeholders to support this advocacy position. d) Commits to fund a public campaign in support of 1 – 3 above, up to $130,400 and seek support funding from other sources. Division The Council voted by division
For: Crs Bill Acklin, Sophie Barker, David Benson-Pope, Christine Garey, Kevin Gilbert, Carmen Houlahan, Marie Laufiso, Cherry Lucas, Mandy Mayhem, Jim O'Malley, Lee Vandervis, Steve Walker, Brent Weatherall, Andrew Whiley and Mayor Jules Radich (15). Against: Nil Abstained: Nil
The division was declared CARRIED by 15 votes to 0
Motion carried (CNL/2023/013) |
|
Resolution to exclude the public |
||||||||||||||||||||||||||||
|
Moved (Mayor Jules Radich/Cr Steve Walker): That the Council:
Pursuant to the provisions of the Local Government Official Information and Meetings Act 1987, exclude the public from the following part of the proceedings of this meeting namely:
This resolution is made in reliance on Section 48(1)(a) of the Local Government Official Information and Meetings Act 1987, and the particular interest or interests protected by Section 6 or Section 7 of that Act, or Section 6 or Section 7 or Section 9 of the Official Information Act 1982, as the case may require, which would be prejudiced by the holding of the whole or the relevant part of the proceedings of the meeting in public are as shown above after each item. Motion carried (CNL/2023/014) |
The meeting moved into confidential at 3.12 pm and concluded at 4.56 pm.
..............................................
MAYOR
|
Council 28 February 2023 |
Actions From Resolutions of Council Meetings
Department: Civic
EXECUTIVE SUMMARY
1 The purpose of this report is to show progress on implementing resolutions made at Council meetings.
2 As this report is an administrative report only, there are no options or Summary of Considerations.
|
That the Council:
Notes the Open and Completed Actions from resolutions of Council meetings as attached.
|
discussion
3 This report also provides an update on resolutions that have been actioned and completed since the last Council meeting. Note that items on the Forward Work Programme are not included in the attached schedules.
NEXT STEPS
4 Updates will be provided at future Council meetings.
Signatories
|
Author: |
Lynne Adamson - Governance Support Officer |
|
Authoriser: |
Sharon Bodeker - Manager Governance |
|
|
Title |
Page |
|
⇩a |
Open actions update - February 2023 |
31 |
|
|
Council 28 February 2023 |
Forward Work Programme for Council - February 2023
Department: Civic
EXECUTIVE SUMMARY
1 The purpose of this report is to provide the updated forward work programme for the 2022-2023 year (Attachment A).
2 As this is an administrative report only, there are no options or Summary of Considerations.
|
That the Council: a) Notes the updated Council forward work programme as shown in Attachment A. |
DISCUSSION
3 The forward work programme is a regular agenda item which shows areas of activity, progress and expected timeframes for Council decision making across a range of areas of work.
4 As an update report, the purple highlight shows changes to timeframes. New items added to the schedule are highlighted in yellow. Items that have been completed or updated are shown as bold.
5 The attached report covers all items previously presented to Council in late 2022. With the establishment of the new committee structure, some items have been transferred to their relevant committees.
NEXT STEPS
6 An updated report will be presented to the March 2023 Council meeting.
Signatories
|
Author: |
Sharon Bodeker - Manager Governance |
|
Authoriser: |
Sandy Graham - Chief Executive Officer |
|
|
Title |
Page |
|
⇩a |
Council Forward Work Programme - February 2023 |
35 |
|
Council 28 February 2023 |
Water Services Legislation Bill and Water Services Economic Efficiency and Consumer Protection Bill - Submission
Department: Executive Leadership Team and Legal
EXECUTIVE SUMMARY
1 This report seeks the Council’s approval of a draft Dunedin City Council (DCC) submission (Attachment A) to Parliament’s Finance and Expenditure Select Committee on two bills - the Water Services Legislation Bill (Legislation Bill) and the Water Services Economic Efficiency and Consumer Protection Bill (Regulation Bill) (the Bills).
2 Key points from the draft submission include:
a) The reform is unworkable. The legislation in its entirety needs to be rethought and to be slowed down to ensure the principal goals of water reform are met long term.
b) There is a very real risk that ratepayers/consumers are going to end up paying significantly more in combined rates and water charges than they are currently paying. This would be particularly the case if Water Service Entities (WSEs) are exempt from having to pay local body rates. Council seriously question why they should transfer such significant community assets if the model itself cannot achieve the efficiencies that have been assured throughout the water reform process. To simply transfer the financial burden to the ratepayer is unacceptable.
c) Councils' city planning processes will be hamstrung with the WSE exerting investment power over Council’s ability to plan for future land use. There is the potential for WSEs to concentrate their funding in some regions and not others. The neglected regions will have little recourse as the model substantially removes local voices.
d) The complexities of a mixed ownership stormwater model will result in gross inefficiencies both operationally and make handling emergency events difficult.
e) Council will still be viewed by the public as providing water services if they are left to collect water charges yet will have no control of the assets nor real influence operationally.
f) The Legislation Bill will repeal existing protections against privatisation (e.g. section 130 of the Local Government Act 2002 is being repealed by the Legislation Bill), and replacement protections are not as strong.
g) Decision making power in relation to the reform work now sits with the Department of Internal Affairs which has no community consultation requirement, yet Council is accountable to its ratepayers.
3 Recent events in Auckland and the wider North Island re-emphasise the need for water reform and greater funding to ensure efficiencies and safety. However, such events do not point to the new model as being the only solution. In fact, the new model has the potential to worsen existing infrastructure issues and make managing civil defence emergencies more difficult.
|
That the Council: a) Approves the draft DCC submission to the Finance and Expenditure Committee on the Legislation Bill and the Regulation Bill (Attachment A). b) Authorises the Mayor and/or his delegate to speak to the submission. c) Authorises the Chief Executive to make any minor editorial changes if needed. |
BACKGROUND
Three Waters Reform Programme
4 In July 2020, the Government launched the Three Waters Reform Programme to reform local government three waters service delivery arrangements throughout New Zealand. The DCC has participated in the reform programme by responding to requests for information, providing feedback on policy proposals, and making written and oral submissions in relation to proposed legislative changes.
5 In the latter half of 2021, the Minister of Local Government asked for feedback from local authorities on the Government’s Three Waters Reform Programme.
6 The DCC provided feedback to the Minister (Attachment B) and the primary message was that the DCC wanted the Three Waters Reform Programme to be reset with a full exploration of options for future three waters service delivery arrangements. Council also asked for further work to be completed to reassess and clearly define the relationship between the Three Waters Reform Programme and other major Government reform initiatives. Other feedback items included:
a) Allow time for meaningful engagement with communities.
b) Council’s support for Ngāi Tahu participation in water services decision making.
c) Mechanisms to enable local influence in a new three waters service delivery model were needed.
d) Refinement of assumptions and analysis of financial impacts on projected household costs.
e) Support for existing three waters workforce and their development.
f) Ensure local decision making was maintained for urban growth planning and city development.
7 In October 2021, the Government announced that local government participation in the Three Waters Reform Programme would be mandatory. Soon after, the Government released an exposure draft of a Bill that would establish the proposed four new WSEs: the Water Services Entities Bill.
Water Services Entities Act 2022
8 In 2022, the Government introduced the Water Services Entities Bill. The Bill was to establish four new water services entities, and included provisions related to:
a) entity ownership and protections against privatisation
b) entity governance, accountability and consumer engagement
c) transitional arrangements.
9 In August 2022, the DCC submitted to the Finance and Expenditure Committee on the Water Services Entities Bill (Attachment C). On 29 August 2022, the then Mayor made an oral submission to the Committee. The key concerns of the DCC submission related to:
a) whether the Bill would achieve its objectives;
b) the proposed governance and ownership structure of the WSEs;
c) the protections against privatisation, joint arrangements and the amalgamation of a WSE; and
d) the transitional provisions.
10 The Finance and Expenditure Committee considered all submissions and released its report on 11 November 2022. Following further Parliamentary process steps, the Bill received royal assent on 14 December 2022 and became the Water Services Entities Act 2022 (the Act).
11 The Act is part of a suite of legislative changes required to give effect to Government policy decision on three waters service delivery reform. The Act establishes four publicly owned WSEs to deliver three waters services across New Zealand in place of local authorities. The entities are due to become fully operational by the establishment date of 1 July 2024.
Water Services Legislation Bill
12 The Legislation Bill is the second bill in the suite of legislation to reform three waters service delivery in New Zealand. It is an amendment Bill that would make changes and additions to the Water Services Entities Act 2022 and other legislation to give effect to the Government’s policy decisions on three waters service delivery reform. The Legislation Bill is the subject of the draft submission in Attachment A.
13 The main purpose of the Legislation Bill is to establish and empower WSEs by setting out their functions, powers, obligations and oversight arrangements, including:
a) Services delivery functions and powers, to enable WSEs to deliver water services in place of local authorities;
b) Regulatory functions and powers, to enable water services entities to make rules, plans, and other instruments relating to water services, and engage in compliance and enforcement activities; and
c) Pricing and charging arrangements for water services.
14 The Legislation Bill also features further provisions to facilitate the transition from the existing service delivery model to the four new entities, including:
a) Provisions relating to the transfer of assets, liabilities, and other matters from local authorities to the WSEs;
b) Changes to Treaty settlement legislation that are required to ensure that settlement obligations are carried forward from local authorities to the new WSEs; and
c) Detailed changes to local government legislation, the Resource Management Act 1991, the Water Services Act 2021, and other legislation relating to regulation and service delivery of water services.
15 The Legislation Bill was introduced to Parliament and had its first reading on 13 December 2022. Parliament subsequently referred the Legislation Bill to the Finance and Expenditure Committee and a call for submissions by February 2023 was issued.
Water Services Economic Efficiency and Consumer Protection Bill
16 A third bill was also introduced to Parliament at the same time in December 2022 – the Regulation Bill. The Regulation Bill is also the subject of the draft submission in Attachment A.
17 The Regulation Bill would establish an economic regulation and consumer protection framework for the reformed water services delivery system. The Government considers that specific economic regulation and consumer protection regimes are necessary to ensure against problems that can arise when an organisation has a lot of market power.
18 Under the Regulation Bill, the Commerce Commission will be the regulator for the three waters sector. A new role of Water Services Commissioner will be established to ensure transparency of WSEs’ operations.
19 Key features of the Regulation Bill are the requirements for information disclosure, and price-quality regulation, which is envisaged to be implemented in phases over a period of time.
20 Like the Legislation Bill, the Regulation Bill was introduced to Parliament and had its first reading on 13 December 2022. Parliament subsequently referred the Regulation Bill to the Finance and Expenditure Committee and a call for submissions by February 2023 was issued.
Next Steps: Legislative Process
21 The Finance and Expenditure Committee has a deadline of 25 May 2023 to consider submissions and release its report on the Bills. The Government timeline intends for the Bills to be passed by mid-2023. Both Bills in their entirety can be read on the New Zealand Legislation website: https://legislation.govt.nz/.
DISCUSSION
Draft DCC submission: feedback on the Water Services Legislation Bill
22 Both Bills, and particularly the Legislation Bill, would have significant impacts on Council and the community. The Bills currently open for feedback do not address concerns previously raised by the Council in its feedback on the proposed reforms.
23 The draft DCC submission states that the DCC is frustrated at being required to submit again on legislation that is fundamentally flawed and within the short time frame provided for submissions.
24 Further, the draft submission states that DCC is disappointed that the concerns and proposed alternatives concerning ownership and local influence raised in its previous submission were not considered and incorporated in the new legislation.
25 A key message in the draft submission is that all water reform legislation – the Water Services Entities Act 2022, the Legislation Bill and the Regulation Bill, are not workable in their current forms. The draft submission states the legislation in its entirety needs to be rethought and slowed down to ensure Government’s stated goals are met long-term.
26 Further feedback on the Legislation Bill is provided in the draft submission under three headings:
a) Unworkable relationship between Territorial Authorities and the WSEs
b) Imposed obligations on Councils
c) Unfair burden on the ratepayer.
27 The key issues under those themes are set out below.
Unworkable relationship between Territorial Authorities and the WSEs
28 The draft DCC submission states:
a) The DCC has no assurance that local decision making will be maintained in planning decisions nor how investment in Dunedin will be assured. Councils as organisations close to the community, remain best placed to balance the wide variety of considerations informing land use decisions of which three waters is but one part.
b) The proposed mixed ownership model for stormwater between the WSE, local authorities and private operators/owners is complex, impractical and dangerous; and the stormwater provisions of the Legislation Bill need to be comprehensively rethought.
c) Relationship agreements are a proposed tool under the Legislation Bill that may combat some of the issues outlined above, however the scope of these agreements is unwieldy and needs thorough review.
d) The proposed asset and debt transfer provisions in the Legislation Bill give the Minister broad asset transfer amendment powers without any local authority input. No unilateral discretion should be given to the Minister.
Imposed obligations on councils
29 The draft DCC submission:
a) Objects to provisions that could require councils to collect charges for services that are already transferred to the WSE, for example for stormwater charges, and insists that provision in the Legislation Bill relating to “pass-through billing” be removed.
a) Recommends councils should be compensated for providing rating information to the WSEs and for maintaining and keeping it.
b) States the reform programme is placing resourcing pressures on councils.
Unfair burden on the ratepayer
30 The draft DCC submission states:
a) Exempting WSEs from paying rates would have a major impact on both the financial situation of Council and consequently on ratepayers.
b) The WSEs should not be treated any differently to other network infrastructure providers who pay rates, and both clauses regarding this should be removed from the Legislation Bill.
c) The Crown’s exemption from paying water infrastructure charges is an unacceptable burden shift on to the ratepayer and the relevant section regarding this should be removed from the Legislation Bill.
The Water Services Economic Efficiency and Consumer Protection Bill
31 The Regulation Bill is not the main focus of the DCC’s submission. However, the draft submission states the DCC’s key concerns regarding this Bill are:
a) Regulation needs to be balanced with operational efficiency
b) Clarity is required regarding regulatory roles
c) Too much power is given to the Commerce Commission in WSE operational matters.
OPTIONS
Option One – submit on the Water Services Legislation Bill and the Water Services Economic Efficiency and Consumer Protection Bill (Recommended Option)
32 Approve, with any suggested amendments, the draft submission to the Finance and Expenditure Select Committee on the Legislation Bill and the Regulation Bill (Attachment A).
Advantages
a) Opportunity to provide further feedback on three waters service delivery reform.
b) Opportunity to recommend changes to the Finance and Expenditure Select Committee on particular provisions of both Bills.
Disadvantages
b) There are no identified disadvantages for this option.
Option Two – do not submit on the Water Services Legislation Bill or the Water Services Economic Efficiency and Consumer Protection Bill
33 Do not approve the draft submission (Attachment A).
Advantages
a) There are no identified advantages for this option.
Disadvantages
a) Missed opportunity to provide further feedback on three water service deliver reform.
b) Missed opportunity to recommend changes to the Finance and Expenditure Select Committee regarding the provisions of both Bills.
NEXT STEPS
34 The deadline for submissions from local government was 17 February 2023. On 21 December 2022, the Mayor lodged a short placeholder submission on behalf of the Council, stating that the DCC would like to make an oral submission on both Bills. If the Council approves the draft DCC submission at the 28 February 2023 Council meeting, the submission (which covers both Bills) will be considered by the Finance and Expenditure Select Committee alongside the placeholder and oral submission.
Signatories
|
Author: |
Simon Drew - General Manager Infrastructure and Development Karilyn Canton - Chief In-House Legal Counsel Nadia McKenzie - In-House Legal Counsel |
|
Authoriser: |
Sandy Graham - Chief Executive Officer |
|
|
Title |
Page |
|
⇩a |
Attachment A: DCC Submission Water Services Legislation Bill and Water Services Economic Efficiency and Consumer Protection Bill |
50 |
|
⇩b |
Attachment B: Feedback to Minister of Local Government 30 September 2021 |
62 |
|
⇩c |
Attachment C: Water Services Entities Bill Submission 8 August 2022 |
71 |
|
SUMMARY OF CONSIDERATIONS
|
||||||||||||||||||||||||||||||||||||||||
|
Fit with purpose of Local Government This decision enables democratic local decision making and action by, and on behalf of communities and promotes the social, economic, environmental and cultural well-being of communities in the present and for the future.
|
||||||||||||||||||||||||||||||||||||||||
|
Fit with strategic framework
This report has been prepared with reference to the Dunedin strategic framework. |
||||||||||||||||||||||||||||||||||||||||
|
Māori Impact Statement The Government has undertaken extensive high-level engagement with iwi/Maori in relation to the three waters reforms, including with Te Rūnanga o Ngāi Tahu. Central Government officials have worked closely with Ngāi Tahu to develop the boundary for the South Island water services entity. |
||||||||||||||||||||||||||||||||||||||||
|
Sustainability Any changes to New Zealand’s Three Water service delivery model may change the economic and environmental sustainability of three waters infrastructure and services across New Zealand. |
||||||||||||||||||||||||||||||||||||||||
|
LTP/Annual Plan / Financial Strategy /Infrastructure Strategy This report and the decision to approve the submission to the Finance and Expenditure Select Committee has no direct implications for these plans and strategies. However, should the Bills go ahead in their current form, there will be serious implications for the next LTP and annual plan. |
||||||||||||||||||||||||||||||||||||||||
|
Financial considerations There are no financial implications directly associated with this report and the decision to approve the draft submission to the Finance and Expenditure Select Committee. |
||||||||||||||||||||||||||||||||||||||||
|
Significance The decision to approve the draft DCC submission is considered low in terms of the Council’s significance and engagement policy. |
||||||||||||||||||||||||||||||||||||||||
|
Engagement – external There has been engagement with other Otago and Southland councils and with mana whenua in relation to the Bills and the development of the draft DCC submission. |
||||||||||||||||||||||||||||||||||||||||
|
Engagement - internal Staff from the 3 Waters Group, Executive Leadership Team and the Legal Team have contributed to the development of the draft DCC submission. |
||||||||||||||||||||||||||||||||||||||||
|
Risks: Legal / Health and Safety etc. There are no identified risks directly related to a DCC submission on the Water Services Legislation Bill or the Water Services Economic Efficiency and Consumer Protection Bill. There are however significant issues if the Bills proceed as drafted. |
||||||||||||||||||||||||||||||||||||||||
|
Conflict of Interest There are no known conflicts of interest. |
||||||||||||||||||||||||||||||||||||||||
|
Community Boards Community Boards are likely to be interested in the three waters reform updates and staff will consider how to update the Community Boards. |
|
Council 28 February 2023 |
Future for Local Government Review - Submission
Department: Corporate Policy
EXECUTIVE SUMMARY
1 This report seeks approval of a draft Dunedin City Council (DCC) submission (Attachment A) on the Review into the Future for Local Government (the Review).
2 Lead by the Department of Internal Affairs (DIA), the Review is intended to be an opportunity to create a new system of local governance and democracy that will effectively respond to a changing New Zealand and create conditions for communities to thrive.
3 The Review’s draft report, He mata whāriki, he matawhānui, (the Report) was released in late October 2022. It outlines the need for a local governance system in Aotearoa New Zealand that is community-focussed and citizen-centred, based on strong relationships and partnerships. The DCC’s submission speaks to the Report and to its 29 recommendations in Attachment B, titled Appendix A for the purpose of the submission.
4 Submissions on the draft report close on 28 February 2023; the DCC has an extension until 3 March 2023.
5 The final Report is scheduled for release in June 2023.
6 DCC staff have been involved in webinars and workshops on this topic from Local Government New Zealand and Taituarā (the organisation of local government organisations), which has also helped to inform the DCC’s submission.
|
That the Council: a) Approves the DCC submission, with any amendments, on “the Future for Local Government Review”. b) Authorises the Chief Executive to make any minor editorial amendments to the submission. |
BACKGROUND
The Context and Scope of the Review
7 Current local governance structures and systems are now facing considerable pressure due to:
· Increased responsibilities and demands arising from the reform of New Zealand local government reform in 1989 (850 local bodies amalgamated into 86 local authorities), and the Local Government Act 2002 (the LGA). The LGA introduced the Long Term Plan (LTP) and the associated Special Consultative Procedure (SCP), and Community Outcomes with progress indicators and measures).
·
· Complex issues with local impacts (e.g. climate change, poverty and inequity, housing) as well as national reforms such as the Resource Management Act (RMA), Three Waters, and local government’s commitment to the principles of the Treaty of Waitangi.
The Review is seen as an opportunity to address these issues and ensure that the system of local governance is fit for the future, in order to maximise wellbeing and prosperity for all communities.
8 The scope of the Review includes:
· Functions, roles, and structures of local government
· Relationships with central government, iwi, Māori, businesses, communities, and other organisations that contribute to local wellbeing
· Treaty partnership
· Funding
9 The reform of the RMA and Three Waters are outside of the scope of the Review; however consideration will be given to the implications of these and other central government policy decisions for the local government sector.
Discussion
Summary of the draft report, He mata whāriki, he matawhanui
10 The Report identifies five key shifts in the way that local government operates:
1. Strengthened local democracy. From low public trust and participation in local governance, to citizens participating in local decision-making; councils being trusted and reflecting community diversity.
2. Authentic relationship with hapū/iwi and Māori. From variable relationships between councils and hapū/iwi/Māori, to strong, authentic relationships between councils and hapū/iwi/Māori that enable self-determination and shared authority.
3. Stronger focus on wellbeing. From councils often narrowly focused on delivering services and infrastructure, to councils focusing on holistic strategies to improve the wellbeing of their communities.
4. Genuine partnership between local and central government. From low trust between local and central government, to genuine partnership to co-invest in and deliver wellbeing outcomes for communities
11 The DCC’s submission is structured to address each of these five key shifts.
12 The Report notes that many of its suggestions can be activated to some degree, without needing a mandate or legislative reform, but that significant coordinated changes will also be needed across the system of local and central government, to different extents and across a range of timeframes.
13 This will require a “joined-up approach”, with commitment across the system and sufficient resourcing and capacity made available, and recognising systemic and structural changes will be required including:
· updating some of the underlying legislation and frameworks that define local government
· embedding Te Tiriti more explicitly within local government systems
· considering changes to the roles and functions carried out by local councils
· the form of the local government system itself.
DCC submission
14 The draft DCC submission broadly supports the objectives of the Review’s recommendations and highlights a number of positive changes, outlines areas of concern and makes a number of suggestions. DCC’s comments in relation to the 29 recommendations are included in Appendix 1, in Attachment A.
15 The key comments are:
· The DCC notes a high level of uncertainty associated with the recommendations and how they will impact on the diverse and interconnected workstreams that local government currently carries out.
· The DCC encourages the Panel to give clear guidance to government on adequate and appropriate transition periods, so that local communities are actively supported during any proposed system changes.
· The Panel was clear that the scope of the Review did not include other reforms such as the Three Waters Bill, the Natural and Built Environment Bill and the Spatial Planning Bill. The DCC’s view is that the Panel has missed a critical opportunity to engage with local government on the implications of these reforms, which could have informed the proposed system designs.
· The Panel’s proposed system designs of local government lacks alignment with other reforms and in places, specific recommendations contradict requirements that are detailed in the reforms.
· The DCC acknowledges there is a strong feeling of uncertainty among the local community. The DCC encourages the Panel to recommend to government that alignment is needed across the reforms, including the review into local government, so the system is cohesive, coherent and consistent.
· The DCC is particularly concerned about the lack of detail in the proposed system designs. This concern is in relation to the key operational roles that councils currently have, besides the political, policy and democratic roles.
· The DCC agrees with the Panel’s view that proposed system designs need to balance realising efficiencies across population groups with meeting local community needs based on an equitable funding model. However, the Report’s system designs appear naïve as they do not identify how the proposed system designs will improve services across different and dispersed geographical communities or increase savings and efficiencies.
OPTIONS
Option One – Recommended Option - Approve the DCC submission, with any amendments, on the Future for Local Government Review
16 Approve the DCC submission, with any amendments, on the Review into the Future for Local Government.
Advantages
· Opportunity to feedback on the proposed changes and specific recommendations in the draft Report on the “Review into the Future for Local Government”
· Opportunity to provide feedback on topics relevant to the DCC’s strategic and operational work,
· Opportunity to provide feedback and request clarification around some areas of the draft Report that may impact on Ōtepoti Dunedin when recommendations are implemented.
Disadvantages
· There are no identified disadvantages for this option.
Option Two – Do not approve the DCC submission on the Future for Local Government Review
17 Do not approve the DCC submission on the Review into the Future for Local Government.
Advantages
· There are no identified advantages to this option.
Disadvantages
· Missed opportunity to provide feedback on topics relevant to the DCC’s strategic and operational work.
· Missed opportunity to request clarification around some areas of the draft report that may impact on Ōtepoti Dunedin when recommendations are implemented.
NEXT STEPS
18 If the Council approves the draft submission, it will be sent to the Review into the Future for Local Government for its consideration.
Signatories
|
Author: |
Gina Huakau - Corporate Policy Manager |
|
Authoriser: |
Jeanette Wikaira - Manahautū (General Manager Māori Partnerships and Policy |
|
|
Title |
Page |
|
⇩a |
Review into the Future for Local Government - DCC Submission on: HE MATA WHĀRIKI, HE MATAWHĀNUI - THE REVIEW INTO THE FUTURE FOR LOCAL GOVERNMENT |
107 |
|
SUMMARY OF CONSIDERATIONS
|
||||||||||||||||||||||||||||||||||||||||
|
Fit with purpose of Local Government This decision enables democratic local decision making and action by, and on behalf of communities. This decision promotes the social well-being of communities in the present and for the future. This decision promotes the economic well-being of communities in the present and for the future. This decision promotes the environmental well-being of communities in the present and for the future. This decision promotes the cultural well-being of communities in the present and for the future. |
||||||||||||||||||||||||||||||||||||||||
|
Fit with strategic framework
This submission aligns with most DCC strategies as it enables democratic local decision making and action by and on behalf of all Dunedin residents. In particular, the DCC’s Social Wellbeing Strategy seeks to ensure that all Dunedin residents are valued citizens with a role to play in the city. The 3 Waters Strategy and Spatial Plan have not been included here as they are deemed “out of scope in the terms of the Review. |
||||||||||||||||||||||||||||||||||||||||
|
Māori Impact Statement The DCC supports recommendations in the draft Report that promote models for democracy that build capability and understanding of Te Tiriti o Waitangi and te ao Māori. Te Pae Māori was established as a new mana to mana forum to advance the strategic relationship between the Rūnaka and the DCC. To have these unique relationships supported through statutory initiatives, as recommended in the draft Report, provides an additional level of strengthening and maintenance of Tiriti-based relationships. The DCC strongly supports recommendation 8 in the draft Report, which seeks to strengthen Te Tiriti capability and capacity at local governance levels through statutory means.
|
||||||||||||||||||||||||||||||||||||||||
|
Sustainability The Report notes the importance of effective service design, support and stewardship in achieving sustainability. The DCC supports this in its submission. |
||||||||||||||||||||||||||||||||||||||||
|
LTP/Annual Plan / Financial Strategy /Infrastructure Strategy There are no implications for current levels of service and/or performance measures. |
||||||||||||||||||||||||||||||||||||||||
|
Financial considerations There are no financial implications. |
||||||||||||||||||||||||||||||||||||||||
|
Significance This decision is considered low in terms of the Council’s Significance and Engagement Policy. |
||||||||||||||||||||||||||||||||||||||||
|
Engagement – external Due to time constraints in preparing the submission, there has been no external engagement. |
||||||||||||||||||||||||||||||||||||||||
|
Engagement - internal There has been internal engagement across General Managers and teams. |
||||||||||||||||||||||||||||||||||||||||
|
Risks: Legal / Health and Safety etc. There are no identified risks. |
||||||||||||||||||||||||||||||||||||||||
|
Conflict of Interest There is no conflict of interest. |
||||||||||||||||||||||||||||||||||||||||
|
Community Boards The DCC submission is likely to be of interest to all Dunedin communities including those served by Community Boards. |
|
Council 28 February 2023 |
Future Development Strategy - Governance Arrangements
Department: City Development
EXECUTIVE SUMMARY
1 The National Policy Statement on Urban Development (NPS-UD) requires the Dunedin City Council (DCC) and Otago Regional Council (ORC) to jointly prepare a Future Development Strategy (FDS) for Dunedin by mid-2024. The FDS is being prepared by DCC and ORC in partnership with mana whenua.
2 The purpose of this report is to note the governance arrangements for stage one of the FDS, preparing and approving the draft strategy for consultation. This report also notes the proposed approach to engaging the community during the preparation of the FDS.
3 A similar report on the governance arrangements and community engagement approach was considered by the Otago Regional Council at their meeting on 22 February 2023. The ORC resolved their preferred governance arrangement was to utilise its standing committee, the Regional Leadership Committee, and provide delegation to that Committee to enable the Committee to consider and make decisions concerning the FDS work with the DCC.
|
That the Council: a) Notes that Dunedin City Council governance and decision making on the FDS will be exercised by the Strategy, Planning and Engagement Committee, as per the current Committee Structure and Delegations Manual. b) Notes the proposed approach to community engagement during the preparation of the FDS. |
BACKGROUND
4 The NPS-UD requires the DCC and ORC to jointly prepare the FDS. The Dunedin FDS is also being prepared in partnership with mana whenua.
5 There are three key stages in the FDS process:
· Stage one - preparation and approval of the draft FDS for public notification
· Stage two - making decisions on public submissions and adoption of a final FDS
· Stage three - development of an implementation plan
6 The purpose of an FDS is to ensure there is enough housing and business land capacity available; infrastructure necessary to support growth is planned, funded and integrated with growth; and that growth delivers a ‘well-functioning urban environment’. Future changes to the district plan (changes to zoning and planning rules) and infrastructure funding decisions must have regard to the FDS.
7 The NPS requires an FDS to describe and spatially show the following:
· Hapū and iwi values and aspirations for urban development
· the existing and future areas that will provide for Dunedin’s growth needs
· strategic infrastructure required to support and service that growth, and
· development constraints.
8 Alongside the FDS, the FDS partnership must also prepare an implementation plan and update this annually.
9 The FDS must be prepared using the Special Consultative Procedure (SCP), under the Local Government Act 2002. A draft FDS will be published in mid 2023 for public submission and submissions will be considered in a public hearing prior to adopting the strategy.
10 Authorities are also required to engage with the following stakeholders during the preparation of the draft FDS prior to the publication of the draft for public submissions:
· other authorities with whom there are significant connections relating to infrastructure or community
· relevant central government agencies
· relevant hapū and iwi
· providers of infrastructure
· relevant providers of nationally significant infrastructure, and
· the development sector.
11 In a report to Planning and Environment Committee on 6 July 2022, the Committee noted the DCC, ORC and mana whenua partnership approach to the preparation of the FDS, and the interim governance arrangements for the last triennium. Under the interim arrangements, DCC’s Planning and Environment Committee and ORC’s Strategy and Planning Committee were responsible for providing strategic direction on the FDS. Both committees had mana whenua representatives, enabling the draft FDS to be prepared in partnership with mana whenua.
12 Joint workshops provided a forum for discussion of strategic issues and strategic intent and matters of significance were confirmed by reports to the respective committees or Councils.
13 A joint workshop was held on strategic directions in October 2022 and on scope and focus areas in November 2022. The November 2022 workshop was followed by a report to ORC Council on 8 December 2022 and DCC Council on 13 December.
14 The next joint governors’ workshop is planned for April 2023 on strategic directions and development constraints.
DISCUSSION
Governance arrangements for preparing an FDS
15 The purpose of an FDS is to promote long-term strategic planning. The FDS has an important role in establishing a framework for future district plan decisions and in setting direction for decisions on funding in the respective Councils’ 10 year plans, and Infrastructure Strategies. There is a need for strong integration between decision-making on the FDS and decision-making on respective Councils’ 10 year plans and Infrastructure Strategies throughout the preparation of these documents to ensure they align.
16 At its meeting on 22 February 2023, the ORC resolved that decision making on stage one (preparation of the FDS and decision to notify the draft FDS for consultation) would be delegated to its Regional Leadership Committee. This is a committee of the whole with one mana whenua representative.
17 This resolution aligns with the DCC’s approach, where decision making has been delegated to Council’s Strategy, Planning and Engagement Committee. This is also a committee of the whole with two mana whenua representatives.
18 Joint ORC, DCC and mana whenua workshops will continue ahead of committee reports, which are an opportunity to seek informal feedback.
19 Decision making by the respective Council committees will help ensure integration of the FDS and the respective Councils 10 year plans and Infrastructure Strategies. It also aligns with the partnership between mana whenua and the two Councils.
20 While there is a small risk that DCC or ORC may make different decisions at their respective committee meetings, to date this has been mitigated by holding joint workshops ahead of key decisions.
Approach to engaging with the community and key stakeholders
21 The National Policy Statement on Urban Development requires that the FDS be prepared using a Special Consultative Procedure under the Local Government Act, in early 2024. There will be opportunities for engagement in the strategy during its development through workshops and targeted stakeholder engagement and formal submissions on the draft strategy.
22 Engagement on the FDS is already underway, including engagement with key central government agencies such as Waka Kotahi and Kāinga Ora.
· community and social housing providers
· environmental and biodiversity specialists and recreation groups
· business land-owners and large businesses
· other local authorities with significant infrastructure or community connections.
25 Broader community engagement is planned in the second quarter of 2023, through a series of place-based workshops. The workshops will seek feedback from local residents and businesses on:
a) areas identified for new housing and business land
b) any additional options to consider as part of progressing the strategic objectives and areas of focus
c) infrastructure improvements needed to service growth.
26 Workshops are proposed for the following locations:
· Mosgiel
· Outram/Allanton/Waihola
· Green Island/Brighton
· Waitati/Blueskin Bay
· Waikouaiti
· West Harbour/Port Chalmers
· Portobello
· Central City (day-time and evening workshop)
· Corstorphine/Caversham
· Brockville/Wakari
· Middlemarch (possibly linked to community board meeting).
OPTIONS
27 There are no options.
NEXT STEPS
28 A joint Councillor workshop will be held in April 2023 on strategic directions and development constraints. Community engagement workshops on the FDS will be held in quarter two of this year.
29 A report will be presented to the respective Councils later in the year on decision making on stage two (making decisions on submissions on the draft FDS).
Signatories
|
Author: |
Anna Johnson - City Development Manager |
|
Authoriser: |
Simon Drew - General Manager Infrastructure and Development |
There are no attachments for this report.
|
SUMMARY OF CONSIDERATIONS
|
||||||||||||||||||||||||||||||||||||||||
|
Fit with purpose of Local Government This decision enables democratic local decision making and action by, and on behalf of communities. This decision promotes the social, economic, cultural and environmental wellbeing of communities in the present and for the future. |
||||||||||||||||||||||||||||||||||||||||
|
Fit with strategic framework
|
||||||||||||||||||||||||||||||||||||||||
|
Māori Impact Statement The NPS-UD emphasises the existing requirements in the Resource Management Act 1991 (RMA) to take into account the principles of the Treaty of Waitangi in planning decisions relating to urban development and decisions on further development strategies and ensure iwi/Māori are engaged in processes to prepare plans and strategies that shape urban environments. These requirements recognise the strong traditional, and continuing, associations iwi/Māori have with urban environments throughout Aotearoa. In the Dunedin context, strategic priorities in the FDS are identified through a range of means including aspirations and expertise of Kai Tahu mana whenua. The FDS is being prepared in partnership with Kā Rūnaka through Aukaha Ltd and will include a clear statement of hapū and iwi values and aspirations for urban development. |
||||||||||||||||||||||||||||||||||||||||
|
Sustainability The FDS is required to address several aspects of improving sustainability including examining sustainable modes of transport, reducing greenhouse gas emissions and resilience to the effects of climate change. |
||||||||||||||||||||||||||||||||||||||||
|
LTP/Annual Plan / Financial Strategy /Infrastructure Strategy The FDS will inform the 10 year plan 2024-34 and Infrastructure Strategy. |
||||||||||||||||||||||||||||||||||||||||
|
Financial considerations The DCC costs to prepare and consult on the Future Development Strategy are being managed through City Development operational budgets. |
||||||||||||||||||||||||||||||||||||||||
|
Significance The decisions of this report are considered low in terms of Council’s Significance and Engagement Policy. |
||||||||||||||||||||||||||||||||||||||||
|
Engagement – external The FDS is required under the NPS-UD and it must be prepared under the Special Consultative Procedure of the Local Government Act. External engagement to date has included engagement with the ORC, mana whenua, Waka Kotahi and Kāinga Ora. |
||||||||||||||||||||||||||||||||||||||||
|
Engagement - internal There is engagement across Parks & Reserves, Transport, 3 Waters, City Development, South Dunedin Futures, Legal, Carbon Zero, Communications and Marketing and Waste & Environmental Solutions in the development of the FDS. |
||||||||||||||||||||||||||||||||||||||||
|
Risks: Legal / Health and Safety etc. There are no identified risks. |
||||||||||||||||||||||||||||||||||||||||
|
Conflict of Interest There are no known conflicts of interest. |
||||||||||||||||||||||||||||||||||||||||
|
Community Boards Community Boards will be engaged in the preparation of the Draft FDS through the outlying settlements focus area. Workshops are planned in all board areas. |
|
|
Council 28 February 2023 |
Triennial Agreement 2023-2025
Department: Civic
EXECUTIVE SUMMARY
1 Under Section 15 of the Local Government Act 2002, the six local authorities within the Otago region must enter into an agreement containing protocols for communication and coordination. Triennial Agreements enable local authorities to give better effect to their core purposes under the Local Government Act by adopting a regional approach where appropriate to deliver seamless local government service.
2 The new Triennial Agreement for the period 2023-2025 is required to be approved by each local authority within Otago, in identical format no later than 1 March 2023. The Otago Local Authorities’ Triennial Agreement 2023-25 (the Triennial Agreement) is being presented to all the other local authorities in the region for their consideration and approval. At the time of writing this report, Otago Regional Council, Queenstown Lakes District Council and Central Otago District Council have approved the Triennial Agreement.
3 This report presents the Triennial Agreement, at Attachment A, for approval by Council.
|
That the Council: a) Approves the Otago Local Authorities’ Triennial Agreement 2023-25. b) Authorises the Mayor to sign the Otago Local Authorities’ Triennial Agreement 2023-25 on behalf of the Dunedin City Council. |
BACKGROUND
4 Section 15 of the Local Government Act 2002 (the Act) requires all local authorities within a region to enter into a triennial agreement not later than 1 March after each triennial election.
5 Triennial agreements must include:
· protocols for communication and co-ordination between councils,
· the process by which councils will comply with section 16 of the Act, which applies to significant new activities proposed by regional councils, and
· processes and protocols through which all councils can participate in identifying, delivering, and funding facilities and services of significance to more than one district.
6 Triennial agreements may also include commitments to establish joint governance arrangements to give better effect to the matters set out in paragraph 5 above.
7 A triennial agreement may be varied by agreement between all the local authorities within a region and remains in force until local authorities ratify a new agreement.
DISCUSSION
8 The Otago Mayoral Forum agreed on 9 December 2022 to refer the Triennial Agreement at Attachment A to Councils for agreement.
9 The Otago Mayoral Forum is the primary mechanism to implement the Triennial Agreement.
10 The Triennial Agreement positions the Otago Chief Executives Forum as a key complement and advisor to the Otago Mayoral Forum. The Chief Executives Forum is responsible for identifying strategic issues and opportunities, and for delivering on regional actions, and work programmes and projects.
11 This work is often developed and supported by cross-council staff working groups. The Triennial Agreement has expectations, including that each group will have a terms of reference defining their purpose, membership, key objectives and outcomes.
12 The Triennial Agreement includes commitment to a formal relationship between the Papatipu Rūnaka and the local authorities of Otago through Te Rōpū Taiao Otago. This arrangement operates under a separate Governance Charter.
OPTIONS
13 As this report is for administrative purposes, no options are presented.
NEXT STEPS
14 The Triennial Agreement for the local authorities of the Otago region is signed by the Mayor on behalf of Council.
Signatories
|
Author: |
Sharon Bodeker - Acting Manager Governance |
|
Authoriser: |
Sandy Graham - Chief Executive Officer |
|
|
Title |
Page |
|
⇩a |
Otago Local Authorities' Triennial Agreement 2023-25 |
129 |
|
SUMMARY OF CONSIDERATIONS
|
||||||||||||||||||||||||||||||||||||||||
|
Fit with purpose of Local Government This decision enables democratic local decision making and action by, and on behalf of communities. |
||||||||||||||||||||||||||||||||||||||||
|
Fit with strategic framework
|
||||||||||||||||||||||||||||||||||||||||
|
Māori Impact Statement There are no known impacts for Māori. |
||||||||||||||||||||||||||||||||||||||||
|
Sustainability There are no known implications for sustainability. |
||||||||||||||||||||||||||||||||||||||||
|
LTP/Annual Plan / Financial Strategy /Infrastructure Strategy There are no implications identified. |
||||||||||||||||||||||||||||||||||||||||
|
Financial considerations There are no known financial implications. |
||||||||||||||||||||||||||||||||||||||||
|
Significance This matter is considered of low significance in terms of the Council’s Significance and Engagement Policy. |
||||||||||||||||||||||||||||||||||||||||
|
Engagement – external The Triennial Agreement has been discussed by the Mayors/Chair and Chief Executives of the Otago region. |
||||||||||||||||||||||||||||||||||||||||
|
Engagement - internal There has been no internal engagement. |
||||||||||||||||||||||||||||||||||||||||
|
Risks: Legal / Health and Safety etc. There are no identified risks. |
||||||||||||||||||||||||||||||||||||||||
|
Conflict of Interest There are no known conflicts of interest. |
||||||||||||||||||||||||||||||||||||||||
|
Community Boards There are no implications for Community Boards. |
|
Council 28 February 2023 |
Appointment of Hearing Panel for Interim Speed Management Plan
Department: Civic
EXECUTIVE SUMMARY
1 A Draft Dunedin Interim Speed Management Plan (the Plan), primarily focusing on reducing speed limits around schools, was open for public consultation from 14 November to 9 December 2022, in accordance with section 82 of the Local Government Act 2002 and section 12.17 of the new Land Transport Rule: Setting of Speed Limits 2022 (the Rule).
2 Council received 187 submissions on the Plan, and of those, 13 submitters wish to be heard.
3 The purpose of this report is to establish a hearing panel to consider all submissions received, hear from those submitters wishing to present, and make recommendations on the Plan to the Infrastructure Services Committee.
4 As this is an administrative report, there are no options or Summary of Considerations.
|
That the Council: a) Appoints Cr O’Malley (Chair), Cr Lucas, Cr Whiley, and Cr Mayhem as a substitute if needed, to the hearing panel for the Draft Dunedin Interim Speed Management Plan. |
DISCUSSION
5 The Committee Structure and Delegations Manual (the Manual) provides that Cr O’Malley, as the Chair of the Hearings Committee, has the delegation to appoint hearing panels.
6 For this matter however, Cr O’Malley has decided to refer the matter to Council for decision using the following section in the Manual, that “…. members are to be approved on a case by case basis by the Chair of the Hearings Committee or Council in consultation with the Chair”.
7 Cr O’Malley recommends that he chairs the hearings panel with Crs Lucas and Whiley as members, and that Cr Mayhem be appointed as a substitute panel member, should one be needed.
8 A hearing for the Plan will be scheduled for early March 2023.
NEXT STEPS
9 A date will be scheduled for hearing submitters on the Plan.
Signatories
|
Author: |
Sharon Bodeker - Manager Governance |
|
Authoriser: |
Sandy Graham - Chief Executive Officer |
There are no attachments for this report.
|
|
Council 28 February 2023 |
Councillor appointments to external organisations
Department: Civic
EXECUTIVE SUMMARY
1 There are a number of organisations throughout the city which the Council is required or able to appoint representatives to under the terms of those organisations’ constitutions.
2 A vacancy exists on the Hereweka Harbour Cone Trust (the Trust), following the retirement of the Council appointee, Neville Peat from the Trust.
3 The purpose of this report is to recommend an appointment for the Trust, and a swap of Councillor representative appointments made on two external organisations.
4 As this is an administrative report, there are no options or summary of considerations.
|
That the Council: a) Records its thanks to Mr Neville Peat for his service on the Hereweka Harbour Cone Trust since 2014. b) Appoints Cr Andrew Whiley to the Hereweka Harbour Cone Trust. c) Appoints Cr Lee Vandervis as the Councillor representative for Age Concern and Cr Mandy Mayhem as the Councillor representative on the Disability Issues Advisory Group. |
DISCUSSION
5 A vacancy has arisen on the Hereweka Harbour Cone Trust Board following the retirement of Mr Neville Peat from the Board. Mr Peat has been a trustee on the Board since its inception in 2014. It is recommended that Cr Andrew Whiley be appointed to the Trust, to replace Mr Peat.
6 A swap of Councillor representative is also proposed for Age Concern and the Disability Issues Advisory Group.
NEXT STEPS
7 The organisations will be advised of the decisions made.
Signatories
|
Author: |
Sharon Bodeker - Manager Governance |
|
Authoriser: |
Sandy Graham - Chief Executive Officer |
There are no attachments for this report.
|
|
Council 28 February 2023 |
Proposed Event Road Closures for March - April 2023
Department: Transport
EXECUTIVE SUMMARY
1 The DCC has received temporary road closure applications relating to the following events:
a) 2023 Rally Otago
b) Community Regatta Day Event – Macandrew Road Careys Bay
c) Anzac Day Service and Parades – Mosgiel and Outram
2 This report recommends that Council approves the temporary closure of the affected roads.
|
That the Council: a) Resolves to close the roads detailed below (pursuant to Section 319, Section 342, and Schedule 10 clause 11(e) of the Local Government Act 1974): i) 2023 Rally Otago 1 Date: Friday, 31 March 2023: 2 Roads and times: 3 Ceremonial Rally Start (Progressive Road closure between 12.00 noon and 8.00pm). 12:00 noon to 8:00pm. · Octagon Central Carriageway, between George Street and Princes Street.
4:00pm to 8:00pm. · The Lower Octagon, from George Street to Princes Street. · Lower Stuart Street, from the Octagon to Lower Moray Place.
Note: Egress from Bath Street into Stuart Street will be maintained.
Date: Saturday, 1 April 2023:
Roads and times:
9:00am to 9:00pm. · Sturdee Street, from Wickliffe Street to Halsey Street. · Halsey Street, from Sturdee Street to Ward Street. · Ward Street, from Halsey Street to Wickliffe Street. · Wickliffe Street, from Ward Street to Jutland Street. · Jutland Street, from Wickliffe Street to Akaroa Street. · Ward Street overbridge, from Anzac Avenue to Ward Street.
2.00pm to 7.00pm. · Jutland Street, from Akaroa Street to Devon Street.
Date: Sunday, 2 April 2023:
Roads and times:
6:30am to 11:30am. · Waipori Falls Road, from DCC/CDC Boundary to Koefords Road.
9:30am to 2:30pm. · Flagstaff - Whare Flat Road, from Longridge Road (forestry) to Silverstream Valley Road. · Silverstream Valley Road, from Flagstaff - Whare Flat Road to the start of sealed part of the road.
1:00 pm to 6:00pm. · Otokia - Kuri Bush Road East, from Brighton - Taieri Mouth Road to Big Stone Road. · Big Stone Road, from Otokia - Kuri Bush Road East to Rapid 141 Big Stone Road.
1:00pm to 6:00pm (Rally finish). · Brighton Domain.
ii) Community Regatta Day Event Date: Sunday, 16 April 2023:
Roads and Times:
9:00am to 4:00pm. · Macandrew Road Careys Bay, between Slant Street and Harbour Terrace.
iii) Anzac Day Service and Parades – Mosgiel and Outram Date: Tuesday, 25 April 2023:
Roads and Times:
9.30am to 10.05am. · Church Street, between Factory Road and Cargill Street. · 10.55am to 11.15am - Hoylake Street, from Skerries Street to the end of
|
|
|
BACKGROUND
3 Events support Council’s 10 Year Plan goal of a successful city with a diverse, innovative, and productive economy and a hub for skill and talent. They also contribute to the Festival and Events Plan 2018-2023.
4 The areas proposed to be used for these events are legal roads and can therefore be temporarily closed to normal traffic if statutory temporary road closure procedures are followed. The procedures are set out in Section 319 of the LGA 1974 and give Council the power to stop or close any road (or part of a road) within the parameters of Section 342 and Schedule 10 of the LGA 1974 (Schedule 10 is included as Attachment A).
5 These procedures include:
· Consultation with Waka Kotahi (New Zealand Transport Agency) and the Police.
· Public notice being given of the proposal to close any road (or part of a road), and public notice of a decision to close the road.
· Council being satisfied that traffic is not likely to be unreasonably impeded.
6 A resolution of Council is required where a proposal to temporarily close a road relates to public functions.
7 Council is required to give public notice of its decision. This notice will be published after this meeting and prior to the event, if approved.
DISCUSSION
Consultation and Notification
8 The Police and Waka Kotahi have no objections to the proposed road closures.
9 On Saturday 21 January 2023 and Saturday 4 February 2023, the proposed temporary road closures were advertised in the Otago Daily Times (Attachments B and C) with a deadline for feedback.
10 The event organisers contacted those considered affected prior to submitting their application, and no objections were received.
11 Schedule 10 section 11(e) states a road cannot be closed more than 31 days in the aggregate in any one year. This limit will not be exceeded by the approval of the proposed temporary road closures.
Traffic Impacts
12 Most of these events have been held in prior years without causing unreasonable delays to the travelling public.
13 Emergency Services and Public transport services will be managed through the temporary traffic management process.
14 The temporary traffic management plan process ensures that other issues such as temporary relocation of certain parking (e.g. taxi, mobility and AVO) are managed.
OPTIONS
15 Any amendment to this report’s recommendations cannot be implemented without further consultation with the affected parties, Waka Kotahi, the Police, and verifying that traffic impacts are acceptable.
Option One – Recommended Option
16 That the Council closes the sections of roads as recommended in this report.
Advantages
· The roads will be able to be closed and the events will be able to proceed.
· The closure will assist in realising the economic, social, and cultural benefits associated with the events.
Disadvantages
· There will be temporary loss of vehicular access through the closed areas. However, there are detours available, and safety can be assured using temporary traffic management.
Option Two – Status Quo
17 That the Council decides not to close the roads in question.
Advantages
· There would be no detour required for travelling public, and the road would be able to be used as normal.
Disadvantages
· The events would not be able to go ahead, and the benefits of the events would be lost.
NEXT STEPS
18 Should the resolution be made to temporarily close the roads, Council staff will accept the temporary traffic management plan and notify the public of the closures.
Signatories
|
Author: |
Michael Tannock - Transport Network Team Leader |
|
Authoriser: |
Jeanine Benson - Group Manager Transport Simon Drew - General Manager Infrastructure and Development |
|
|
Title |
Page |
|
⇩a |
Local Government Act 1974, Schedule 10 |
145 |
|
⇩b |
DCC Notice Board - ODT 21 January 2023 |
150 |
|
⇩c |
DCC Notice Board - ODT 4 February 2023 |
151 |
|
SUMMARY OF CONSIDERATIONS
|
||||||||||||||||||||||||||||||||||||||||
|
Fit with purpose of Local Government This decision promotes the social and economic well-being of communities in the present and for the future. |
||||||||||||||||||||||||||||||||||||||||
|
Fit with strategic framework
Events contribute to the Strategic Framework. Events contribute to the Economic Development Strategy, the Social Wellbeing Strategy. There is a Festival and Events Plan 2018-2023. |
||||||||||||||||||||||||||||||||||||||||
|
Māori Impact Statement Mana whenua have not been directly engaged with in relation to these road closures. |
||||||||||||||||||||||||||||||||||||||||
|
Sustainability There are no implications for sustainability. |
||||||||||||||||||||||||||||||||||||||||
|
LTP/Annual Plan / Financial Strategy /Infrastructure Strategy There are no implications, the decision is a regulatory one and there are no direct costs to Council. |
||||||||||||||||||||||||||||||||||||||||
|
Financial considerations There are no financial implications. The cost of the proposed road closures is not a cost to Council. |
||||||||||||||||||||||||||||||||||||||||
|
Significance This decision is considered low in terms of the Council’s Significance and Engagement Policy. |
||||||||||||||||||||||||||||||||||||||||
|
Engagement – external There has been external engagement as required by the LGA 1974, with the Police and Waka Kotahi. Affected parties were notified and provided a time period for feedback. |
||||||||||||||||||||||||||||||||||||||||
|
Engagement - internal There has been engagement with DCC Events, In-House Legal, and Transport. There is support for the events to proceed. |
||||||||||||||||||||||||||||||||||||||||
|
Risks: Legal / Health and Safety etc. There are no identified risks should the recommended resolution be made. |
||||||||||||||||||||||||||||||||||||||||
|
Conflict of Interest There are no known conflicts of interest. |
||||||||||||||||||||||||||||||||||||||||
|
Community Boards Whilst the Motorsport Event is within a Community Board area, the event has been held successfully in previous years contributing positively to the local community. |
|
|
Council 28 February 2023 |
Resolution to Exclude the Public
That the Council excludes the public from the following part of the proceedings of this meeting (pursuant to the provisions of the Local Government Official Information and Meetings Act 1987) namely:
This resolution is made in reliance on Section 48(1)(a) of the Local Government Official Information and Meetings Act 1987, and the particular interest or interests protected by Section 6 or Section 7 of that Act, or Section 6 or Section 7 or Section 9 of the Official Information Act 1982, as the case may require, which would be prejudiced by the holding of the whole or the relevant part of the proceedings of the meeting in public are as shown above after each item.
That Russell Lund (Developer) and David McEwen and Fiona Arnold (Salvation Army) be permitted to remain at the meeting after the public has been excluded to speak to Item C1. Their knowledge for this item may be of assistance in matters to be discussed.